Fertige Projekte Neue Projekte Planungen aktuell Weitere Leistungen Meine Partner Immobilienangebote Rechtliches


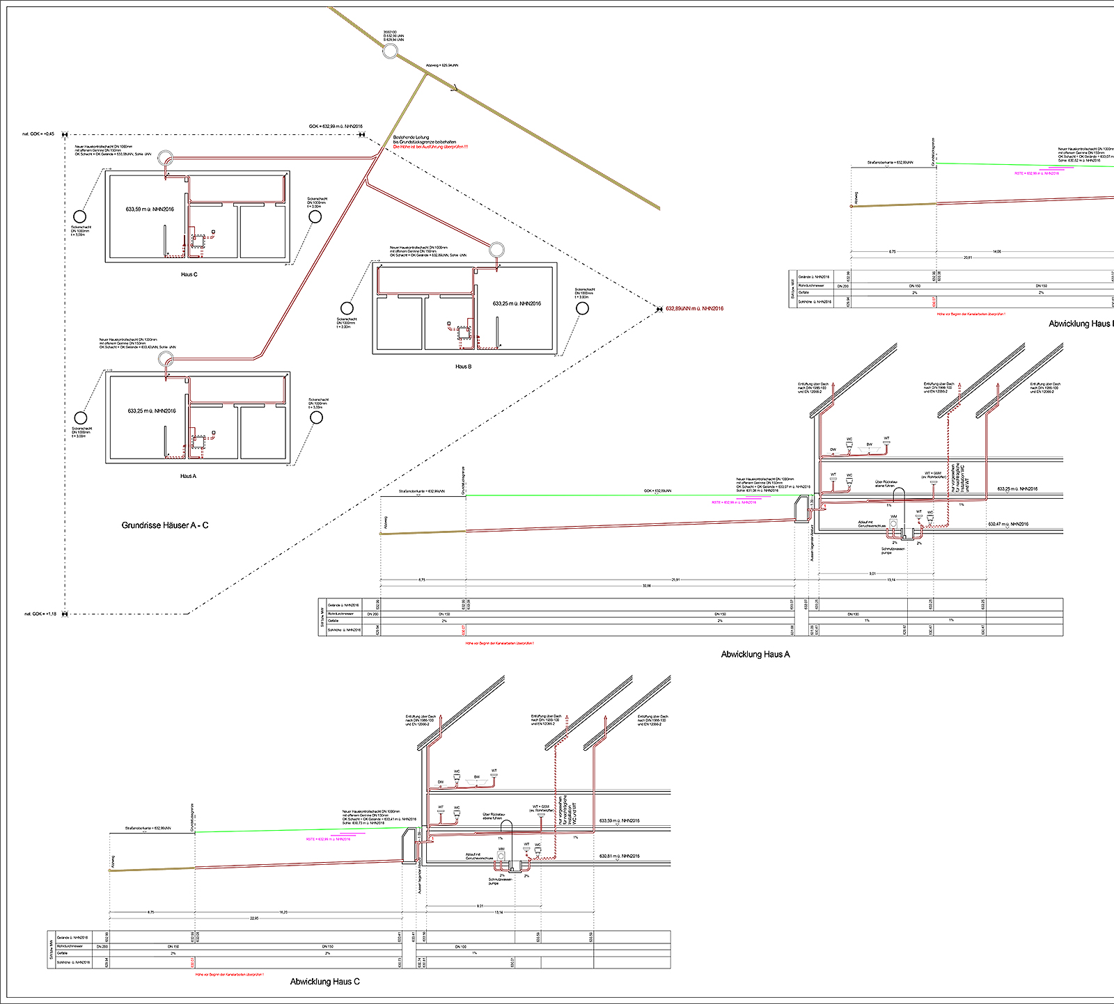
Fertigen der Entwässerungsplanung

Seit gut einem Jahr werden in Bayern bei fast allen Bauanträgen nun auch die zugehörigen Entwässerungspläne gefordert.

Viele Gemeinden und Städte lehnen beim Fehlen dieser Planung die Annahme des Antrages generell ab.

Aus diesem Grunde biete ich nun auch diese Leistungen vollumfänglich mit an.

Bitte beachten Sie: Wohnanlagen größer 10 Wohneinheiten oder Hotelanlagen führe ich nicht aus.

Gerne erstelle ich Ihnen ein individuelles Angebot.